Abstract
-
Purpose
- This study aimed to conduct a systematic review and meta-analysis to identify variables associated with standard precautions compliance among hospital nurses and to comprehensively examine their effect sizes.
-
Methods
- A systematic review and meta-analysis were reported in accordance with the PRISMA and MOOSE guidelines. Studies published in English or Korean were retrieved from KMbase, KoreaMed, KISS, ScienceON, RISS, Nanet, DBpia, PubMed, Embase, CINAHL, and CENTRAL. Data collection was conducted from July 6 to July 16, 2024. To ensure a comprehensive search, no restrictions were placed on the publication period, and studies published up to June 2024 were included in the literature search. Analyses were performed using R ver. 4.4.1.
-
Results
- Of the 2,321 studies screened, 50 were included in the systematic review and 41 were included in the meta-analysis. Variables were categorized according to the ecological model. Among individual-level factors, variables with medium correlation effect sizes (ESr ≥.30) included self-efficacy (ESr=.41; 95% confidence interval [CI], 0.24 to 0.56), perceived barriers (ESr=−.35; 95% CI, −0.59 to −0.05), cues to action (ESr=.34; 95% CI, 0.07 to 0.57), and perceived benefits (ESr=.30; 95% CI, 0.13 to 0.46). Among organizational factors, organizational culture for infection control (ESr=.47; 95% CI, 0.39 to 0.54) and patient safety culture (ESr=.44; 95% CI, 0.35 to 0.53) demonstrated medium effect sizes. Other statistically significant variables with small effect sizes were also identified. No variables were identified within the interpersonal, community, or public policy domains.
-
Conclusion
- This study identified self-efficacy and organizational culture for infection control as key determinants of compliance with standard precautions. Strengthening these factors may reduce healthcare-associated infections and promote safer nursing care (PROSPERO registration number: CRD42024566518).
-
Key words: Meta-analysis; Nurses; Systematic reviews; Universal precautions
서론
1. 연구의 필요성
의료관련감염에 대한 관심은 21세기에 들어서 더욱 증가하고 있으며, 과거에는 의료관련감염의 약 1/3이 불가피한 것으로 여겨졌으나, 현재는 적극적으로 예방해야 할 대상으로 인식이 전환되었다[1]. 특히 코로나19 팬데믹 이후 의료기관의 감염예방관리의 중요성은 더 강화되었으며 질병관리청은 향후 5년간(2023–2027)의 감염병 예방관리 정책의 추진 방향을 제시하여 중앙-지자체, 감염병 관리대책 간 통합적이고 유기적인 협력을 통해 감염병으로부터 모두가 안전한 사회를 구축하고자 한다고 발표하였다[2]. 의료기관에서 환자, 내원객, 의료종사자 모두 감염성 질환에 노출될 위험은 항상 존재하며 감염성 질환의 위험성 및 전파경로가 시대에 따라 다양해지고 복잡해지고 있다. 이러한 위험을 최소화하고 감염전파를 차단하기 위해 표준주의지침과 전파경로별 격리주의(transmission-based precautions)가 적용되어야 한다[3]. 특히 의료기관 내 감염전파의 다양한 경로를 차단하는 핵심은 표준주의지침의 수행이다. 표준주의지침 수행은 모든 의료종사자가 반드시 지켜야 하는 보편적이고 실질적인 행동수칙이며, 이는 모든 환자 처치 시 환자의 감염 상태와 관계없이 적용되어야 하는 기본원칙이다. 미국 질병통제예방센터(Centers for Disease Control and Prevention [CDC])는 1975년 질병 전파경로에 따른 격리지침을 발표하고, 1988년에는 의료인을 혈액 매개 감염으로부터 보호하기 위한 보편주의(universal precaution)를 도입하였다. 1996년 감염관리실무위원회(Hospital Infection Control Practice Advisory Committee)는 표준주의와 전파경로별 주의로 구성된 새로운 격리지침을 발표하였으며, 이는 감염 노출 위험 감소에 효과적이었다. 2007년 CDC는 손 위생, 개인보호구, 환경관리 등 10개 영역의 개정된 표준주의지침을 발표하여 감염관리의 범위를 확대하였다[4].
2022년 국민건강보험공단 지역별 의료이용통계에 따르면[5], 의료인력 중 간호사는 254,227명(49%)으로 의료기관종사자 중 간호사가 가장 많은 비율을 차지하고 있다. 다양한 감염성 질환을 가진 환자들이 의료기관에 입원할 때, 그중 많은 시간을 환자 옆에서 직접적인 서비스를 제공하는 인력이 바로 간호사이다[6]. 선행연구에 따르면 간호사는 감염관리 프로세스의 핵심이며 감염경로를 차단하고 자신을 보호하기 위해 표준주의지침을 준수해야 하는 중요한 의료종사자이다[7]. 간호사의 감염예방 지식과 올바른 표준주의지침 수행은 감염 발생률을 감소시키고[8], 의료관련감염을 줄이며 간호 효과를 향상시키는 데 중요한 역할을 한다[9]. 그간 병원 간호사의 표준주의지침 수행에 영향을 미치는 요인에 대한 다양한 선행연구들이 이루어져 왔으며, 이를 통해 표준주의지침 지식, 감염관리조직문화, 자기효능감, 그릿, 비판적 사고성향, 표준주의지침 인식 등 다양한 변인들이 제시되었다[6,10-12]. 그러나 이들 연구들은 단면연구나 관찰연구로 변수 간 단편적인 관계만 제시하여 통합적 관점은 결여되어 있어 요인들의 상대적 중요성과 통합적 영향을 규명하기에는 한계가 있으며, 이들 요인들을 통합적으로 분석한 체계적 문헌고찰이나 메타분석 연구가 이루어질 필요가 있다. 이에 국외에서는 의료종사자들을 대상으로 한 감염예방 및 표준주의지침에 대한 체계적 문헌고찰[13]과 메타분석 연구[14,15]가 수행되었으나, 건강위협, 지식, 교육, 사회인구학적 요인, 행동적 요인, 의료시설 등으로 관련 변인을 구분하였을 뿐 적용된 분류기준이 뚜렷하지 않았다. 이에 본 연구는 이러한 한계를 보완하고자 McLeroy 등[16]이 제시한 생태학적 모델(ecological model)을 개념적 기틀로 채택하였다. 생태학적 모델은 표준주의지침 수행에 영향을 미치는 관련 변인을 하나의 단일 요인으로 보기보다는 개인적 요인, 대인관계 요인, 조직적 요인 등이 환경과 상호작용하여 행동에 영향을 미친다고 가정하였다. 즉 여러 요인이 함께 작용하여 병원 간호사의 표준주의지침 수행에 영향을 미칠 수 있으며, 이를 생태학적 모델의 틀을 통해 체계적으로 설명하고자 한다. 또한 국내에서 시행한 연구들은 포함되지 않았을 뿐만 아니라 병원 간호사만을 대상으로 한 연구도 찾아보기 어려웠다.
따라서 관련 변인들에 대한 통합적 정리가 필요하며, 병원 간호사의 표준주의지침 수행률을 높일 수 있는 전략이나 중재를 개발하기 위한 근거를 마련하기 위해서 국내 연구를 포함한 병원 간호사만을 대상으로 하는 메타분석 연구가 이루어질 필요가 있다. 이에 본 연구에서는 병원 간호사만을 대상으로 하는 체계적 문헌고찰 및 메타분석을 통해 표준주의지침 수행에 영향을 미치는 요인들을 통합적으로 분석하여 효과크기를 제시하고 향후 연구 방향성을 제시하는 데 기여하고자 한다.
2. 연구의 목적
본 연구의 목적은 국내 및 국외 병원 간호사의 표준주의지침 수행에 대해 체계적 문헌고찰 및 메타분석을 시행하여, 병원 간호사의 표준주의지침 수행에 영향을 미치는 관련 변인들을 확인하고 선행연구결과를 종합하는 것으로 구체적인 목적은 다음과 같다. 첫째, 병원 간호사의 표준주의지침 수행 관련 연구의 일반적인 특성을 파악한다. 둘째, 병원 간호사의 표준주의지침 수행 관련 연구의 질 평가결과를 확인한다. 셋째, 병원 간호사의 표준주의지침 수행에 영향을 미치는 관련 변인들을 확인하고 이들의 상관관계 효과크기를 확인한다. 넷째, 병원 간호사의 표준주의지침 수행 관련 연구의 조절변인에 따른 효과크기를 확인한다.
방법
1. 연구설계
본 연구는 국내 및 국외 병원 간호사의 표준주의지침 수행에 영향을 미치는 변인들에 대해서 효과크기를 제시하기 위한 체계적 문헌고찰 및 메타분석 연구이다. 한국보건의료연구원(National Evidence based Healthcare Collaborating Agency [NECA])의 ‘체계적 문헌고찰 매뉴얼’[17], PRISMA (Preferred Reporting Items for Systematic Reviews and Meta-Analysis)의 체계적 문헌고찰 보고 지침[18]을 따랐으며(Supplementary Appendix 1), 관찰연구 메타분석의 특성을 고려하여 MOOSE (Meta-analysis of Observational Studies in Epidemiology) 가이드라인[19]을 추가적으로 준용하였다(Supplementary Appendix 2). 본 연구의 프로토콜은 PROSPERO에 등록(registration number: CRD42024566518) 후 수행하였다.
2. 문헌 선정 및 배제기준
본 연구는 NECA 체계적 문헌고찰 매뉴얼에 따라 PICOS-SD (Participants, Intervention, Comparisons, Outcomes, Setting, Study Design)를 설정하였다. 연구대상(P)은 국내 및 국외 병원에서 근무하는 간호사이며, 중재(I)는 표준주의지침 수행에 영향을 미치는 변인으로 설정하였으며, 표준주의지침 수행과 관련된 연구를 포괄적으로 검색하기 위하여 대조군(C)는 설정하지 않았다. 결과(O)는 표준주의지침 수행이고, 연구 세팅(S)은 병원이며 연구설계(SD)는 관찰연구로 하였다 구체적인 선정기준은 (1) 국내 및 국외의 병원 간호사를 대상으로 한 문헌, (2) 간호사의 표준주의지침 수행 관련 변인에 대한 결과를 제시한 문헌, (3) 간호사의 표준주의지침 수행 관련 변인에 대해 효과크기 환산이 가능한 표본 수(n) 및 상관계수(r) 또는 비표준화 회귀계수(B), 표준오차(standard error), t값 또는 critical ratio 또는 odds ratios 또는 rate ratios 또는 risk ratios의 통계 수치를 제시한 문헌, (4) 학술지로 출판된 문헌이다. 문헌의 배제기준은 (1) 간호사 외 대상자가 포함되어 간호사만의 단독 통계치가 보고되지 않은 문헌, (2) 표준주의지침 수행 관련 변인의 통계치가 보고되지 않은 문헌, (3) 원문을 구할 수 없는 문헌, (4) 국문 또는 영문 이외의 언어로 출판된 문헌, (5) 학위논문, 학술대회 초록 형태로 작성된 문헌이었다.
3. 문헌검색 및 선정
1) 문헌검색
본 연구의 체계적 문헌고찰 및 메타분석을 위한 문헌의 자료수집은 2024년 7월 6일부터 2024년 7월 16일까지 진행하였으며, 포괄적인 검색을 위해 검색기간을 제한하지 않고 2024년 6월까지 출간된 학술지를 대상으로 자료검색을 하였다. 두 명의 연구자와 전문 도서관 사서 1인이 독립적으로 데이터베이스 검색을 실시, 검색된 문헌의 일치 여부를 확인하였다. 자료검색은 NECA에서 권장하는 핵심 검색 데이터베이스 중[17], 국내 검색은 Korean Medical database (KMbase), Korean Studies Information Service System (KISS), KoreaMed, ScienceON과 그 외에 DataBase Periodical Information Academic (DBpia), National Assembly Library (NAL), Research Information Sharing Service (RISS)를 이용하였다. 또한 한국간호과학회 회원 학회지를 포함하여 한국학술지인용색인(Korea Citation Index [KCI])에서 등재지 이상으로 검색된 간호분야 학회지 24곳에서 수기검색을 실시하였다. 국외 자료검색은 PubMed, Embase, Cochrane Central Register of Controlled Trials (CENTRAL)의 3곳과 핵심 검색 데이터베이스 외에 추가로 Cumulative Index to Nursing And Allied Health Literature (CINAHL)에서 자료검색을 시행하였다. 국내 데이터베이스에서는 한국어로 [“표준주의”] AND [간호사 OR 간호]로 검색하였고 국외 데이터베이스에서는 [“Standard Precautions” OR “Standard Precaution” OR “Universal Precautions”] AND [“nurse” OR “nurses” OR “nursing” OR “nurs*”]로 사용하였으며(Appendix 1), 수집된 문헌은 Endnote ver. 21.0 (Clarivate)과 Excel 2016 (Microsoft Corp.) 프로그램을 이용하였다.
2) 문헌선별 과정
문헌선별을 위해 본 연구팀은 선정 및 배제기준에 따라 독립적으로 문헌을 검토 후, 의견이 일치하지 않는 경우 회의를 통해 의견이 일치할 때까지 원문을 함께 검토 후 문헌을 선별하였다. 대상문헌 선정 및 선별은 두 가지 단계로 시행하였다. 첫 번째 단계에서는 국내 691편, 국외 1,630편으로 총 2,321편이었고, 중복된 740편을 제거 및 총 1,581편 문헌의 초록과 제목을 검토하여 총 270편의 문헌을 선정하였다. 두 번째 단계에서는 원문을 검토하여 간호사 외 다른 대상자가 포함된 문헌 49편, 표준주의지침이 아닌 문헌 27편, 메타분석이 가능한 통계 수치가 없는 문헌 105편, 국문 또는 영문 이외의 언어로 기술된 문헌 8편, 원문 이용 불가한 논문 9편, 논문이 아닌 문헌 21편, 관찰연구가 아닌 문헌 1편을 포함한 총 220편을 제외하여 50편을 선정하였다. 또한 수기검색을 통해 확인된 28편의 문헌 모두 선정기준에 부합하지 않아 제외되었다. 최종적으로 체계적 문헌고찰에는 50편, 메타분석에는 41편의 문헌이 포함되었다(Figure 1, Appendix 2).
4. 문헌의 질 평가
본 연구에서는 상관관계 메타분석의 선행연구[20]에서 상관관계 문헌의 질과 타당도를 평가하기 위해 적합한 것으로 제시한 도구인 Quality Assessment and Validity Tool for Correlation Studies [21]를 사용하였다. 본 도구는 연구설계 2개 문항, 표본 추출 4개 문항, 측정방법은 5개 문항, 통계분석방법은 2문항으로 이루어져 있다. ‘신뢰도가 검정된 도구를 사용하였나?’의 항목에 대해서는 한 문헌에서 여러 개의 관련 변인들이 측정된 경우가 있어, 본 연구에서는 변수마다 신뢰도 및 타당도에 대한 질 평가를 수행한 후 이에 대한 평균이 0.5 이상인 경우, 즉 측정된 변수들의 50% 이상에서 신뢰도 및 타당도가 검정된 도구를 사용한 경우 해당 논문에 대해 ‘예’(1)로 코딩하였다. 또한 신뢰도와 타당도를 측정할 수 없는 경우에는 ‘해당 없음’으로 표시하였으며 총 14점 만점의 도구이다.
5. 자료수집 및 분석
본 연구는 총 50편의 체계적 문헌고찰 문헌 중 41편을 대상으로 메타분석을 시행하였으며, 개별 효과크기 산출과 출판편의 분석에는 사례 수(k) 단위 분석을 위해 R 소프트웨어 프로그램(ver. 4.4.1; The R Foundation for Statistical Computing)의 package인 ‘meta’와 ‘metafor’를 사용하였다.
1) 연구대상 문헌의 일반적 특성 확인
본 연구에서 선정된 개별 연구 총 50편의 문헌 데이터를 추출하여 Excel을 이용하여 코딩하였다. 코딩 항목은 연구 제목, 저자, 연구 발행연도, 병원 유형, 연구 병원 수, 연구대상자 수, 연구 수행 국가, 표준주의지침 수행 측정도구와 수행에 영향을 미치는 관련 변인을 코딩하였다. 본 연구팀은 표준주의지침 수행 관련 변인을 McLeroy 등[16]의 생태학적 모델에 따라 분류하여 범주화하기 위해 이론적 정의를 검토 후, 여러 차례 회의를 거쳐 각 하위영역별로 관련 변인을 범주화하였다. 개인적 요인 중 분류된 current position과 designation은 주로 직무요인으로 분류되나 본 연구에서는 해당 요소가 개인의 능력 및 성향이 직접으로 영향을 미친다는 점을 고려하여 개인적 요인으로 분류하였다. 메타분석에서는 생태학적 모델의 각 요인안에서도 동일 수준의 변인들을 하위 범주(sub-total category)로 통합하여 분석하였다. 개인적 요인에서는 인구사회학적 요인, 인지적 요인, 지식 요인, 가치관 요인, 행동동기 요인으로, 조직적 요인에서는 감염관리조직문화, 환자안전문화, 안전풍토를 조직문화 요인으로 통합하였다.
2) 이질성 검정
메타분석을 하면 개별 연구로부터 도출된 효과크기는 서로 다르게 나타나며, 각 연구가 추정하고자 하는 모집단 효과크기 간의 차이를 이질성(heterogeneity)은 forest plot을 통해 시각적으로 확인하고, Q 통계량과 Higgin’s I2 검정을 통해 평가하였다.
3) 통계분석
본 연구에서는 병원 간호사의 표준주의지침 수행에 영향을 미치는 관련 변인들의 관계에 대한 크기를 알아보기 위해 상관계수 효과크기 r (correlation effect size [ESr])을 사용하였으며, 분석대상 논문에서 상관계수 r이 제시되지 않았을 경우, ‘표본 수(n)’ 및 ‘비표준화 회귀계수(B)’와 표준오차’ 또는 ‘critical ratio’ 또는 ‘odds ratios’ 또는 ‘rate ratios’ 또는 ‘risk ratios’의 통계치가 제시된 경우, 이를 Easy Flow Statistic macro [22]를 사용하여 상관계수 r로 변환한 후 분석에 사용하였다. 효과크기(ESr)는 Cohen [23]의 기준에 따라 최종적으로 나온 값이 .10보다 작은 경우 작은 효과크기, .30 정도면 중간 효과크기, .50 이상이면 큰 효과크기로 해석하였다.
또한 표준주의지침 수행과 부적(–) 상관을 보이는 변수(예: 지각된 장애성, 정당화)는 통합(sub-total) 효과크기 산출 시 방향을 한 방향으로 일치시키기 위하여 표준주의지침 수행을 향상시키는 정적(+) 방향으로 효과크기방향을 일치시켰다. 단, 개별 변수의 효과크기는 원래의 부호 방향을 유지하여 해석하였고, 민감도분석 및 출판편의 검정에서도 원래의 효과크기 방향을 유지하였다.
4) 출판편의 산출 및 보정
출판편의(publication bias)를 확인하고자, funnel plot과 trim and fill, Egger’s regression test를 실시하여 연구에 영향을 미치는 정도를 확인하였다.
5) 민감도분석
민감도분석은 메타분석 연구결과의 강건함(robustness)을 조사하기 위해 수행되는 분석방법으로 분석의 기준이나 내용에 따라 그 결과의 민감하게 변화하는지 검토한다[10,24]. 본 연구에서는 각각의 연구를 제외했을 때 반복적으로 메타분석을 시행하며 평균 효과크기가 어떻게 달라지며, 연구결과가 어느 정도 달라지는가를 검증하는 방법으로 시행하였다.
6) 조절효과 분석
메타분석에서 조절효과 분석은 하위집단 간 효과크기를 비교하고 평균 효과크기에 영향을 주는 변수를 조사하는 방법이며, 조절변수가 범주형이면 meta-analysis of variance (Meta-ANOVA), 연속형이면 Meta-regression을 사용한다[23]. Meta-ANOVA는 연구 수가 3개 이하일 경우 적절하지 않으며, Meta-regression은 최소 10개의 연구가 필요하다[23]. 본 연구에서는 조절효과 분석을 위해 Meta-ANOVA와 Meta-regression을 적용하였다.
6. 윤리적 고려
본 연구는 전북대학교 생명윤리 심사위원회(Institutional Review Board [IRB])에서 심의면제 승인을 받은 후 시행하였다(IRB No. JBNU 2024-06-040).
결과
1. 체계적 문헌고찰
1) 문헌의 일반적 특성
체계적 문헌고찰에 포함된 연구들의 대상자 수는 총 12,742명이었다. 발행연도를 분석한 결과 2020–2024년에 30편(60.0%)으로 가장 많은 연구가 이루었다. 조사된 병원 유형은 종합병원이 22편(44.0%)으로 가장 많았고, 혼합된 경우는 6편(12.0%)이었다. 연구 병원 수는 1곳에서 최대 18곳의 범위였으며, 그 중 2–5곳에서 이루어진 연구가 18편(36.0%)으로 가장 많았다. 연구 수행국가는 한국이 37편(74.0%)으로 가장 많았다. 표준주의지침 수행 측정도구들을 살펴보면, 국내에서는 Suh (2009)가 개발한 도구가 11편(22.0%)으로 가장 많았으며, 국외에서는 CSPS (2011)가 7편(14.0%)이며 연구자가 개발한 도구도 11편(22.0%)으로 나타났다. 측정도구의 영역은 표준주의지침의 10개 영역 중 각 도구가 포함하고 있는 영역의 수를 나타낸다. 표준주의지침 10개 영역을 다 포함하는 도구는 없었으며 Beak (2016)의 도구가 9개의 영역으로 가장 많이 포함하고 있었다(Supplementary Table 1).
2) 표준주의지침 수행 관련 변인
체계적 문헌고찰 선정 문헌에서 제시된 모든 관련 변인을 나열하여 변인의 이론적 정의와 측정도구를 확인하고 유사한 의미의 요인들은 유목화를 시행하였다. 총 50편의 문헌으로부터 총 71개의 관련 변인들을 추출하였고, 이를 McLeroy 등[16]이 제시한 생태학적 모델(ecological model)의 개인적 요인, 대인관계 요인, 조직적 요인, 지역사회 요인, 정책 요인의 5가지 영역으로 범주화하였다. 개인적 요인에서 관련 변인은 51개로 45편의 문헌에서 110개 사례(k)가 제시되었으며, 표준주의지침 지식(k=20), 표준주의지침 인지도와 근무경력(k=6), 표준주의지침 태도와 표준주의지침 인식, 나이, 자기효능감(k=5), 도덕적 민감성(k=4), 혈액매개 감염관리 지식(k=3), 표준주의지침 준수에 영향을 미치는 척도(Factors Influencing Adherence to Standard Precautions Scale [FIASPS])의 정당화, 리더십, 상황적 단서, 문화적 관행 요인(k=2)이었다. 리더십, 문화적 관행 요인은 조직적 요인으로 볼 수 있으나 표준주의지침 준수에 영향을 미치는 척도인 FIASPS의 문항 분석결과, 해당 문항들이 개인의 인식과 태도 수준에서 측정되어, 본 연구에서는 리더십과 문화적 관행을 개인적 요인으로 분류하였다. 건강신념(행동계기, 지각된 장애성, 지각된 유익성, 지각된 민감성, 지각된 심각성)은 각각 k=2였다. 조직적 요인은 관련 변인 19개로, 25편의 문헌에서 38개 사례(k)가 제시되었으며, 이를 구체적으로 살펴보면, 안전풍토(k=11), 감염관리조직문화(k=6), 환자안전문화(k=5)였다. 정책 요인은 관련 변인 1개로, 1편의 문헌에서 1개 사례(k)가 제시되었으며, 병원인증(k=1)이었다.
3) 문헌의 질 평가
최종 선정된 50편 연구의 질 평가의 결과는 10점 이상으로 ‘높음’에 해당하는 연구는 5편(10.0%), 5–9점으로 ‘중간’에 해당하는 연구는 43편(86.0%), 4점 이하로 ‘낮음’에 해당하는 연구는 2편(4.0%)이었다. 이 중 낮은 점수를 받은 연구는 결과에 미치는 영향을 최소화하고 신뢰성을 높이기 위해[25,26], 메타분석에서 제외하였다.
2. 메타분석
체계적 문헌고찰 대상 논문 중 사례 수(k) 2건 이상인 논문 중 문헌의 질 평가에서 낮은 점수를 받은 연구 2편을 제외하고 메타분석 대상 논문을 선정하였으며 총 41편에서 관련 변인 21개가 확인되었다. 생태학적 모델(ecological model)의 영역에 분류한 요인들 중 동일 수준의 변인들을 묶어 통합(sub-total) 효과크기를 확인하였다. 표준주의지침 수행에 관련된 연구들은 각각 다른 환경에서 수행되었으므로 효과크기 분석 시 모두 랜덤효과모형으로[27] 분석하였다(Supplementary Table 2).
1) 개인적 요인
(1) 인구사회학적 요인
인구사회학적 요인으로는 근무경력과 나이를 포함하였으며 통합 효과크기는 ESr=.25 (95% CI, 0.13 to 0.36)로 통계적으로 유의하였다(Figure 2A). 근무경력의 분석에 포함된 사례 수는 총 6건이었으며, 효과크기는 ESr=.28 (95% CI, 0.12 to 0.42), 나이의 분석에 포함된 사례 수는 총 5건이었으며, 효과크기는 ESr=.22 (95% CI, 0.02 to 0.41)로 모두 통계적으로 유의하였다(Figure 2B, C).
(2) 인지적 요인
인지적 요인에는 지각된 장애성, 지각된 유익성, 표준주의지침 인지도, 표준주의지침 인식, 지각된 심각성, 지각된 민감성, 표준주의지침 태도가 포함되었으며 통합 효과크기는 ESr=.25 (95% CI, 0.20 to 0.30)로 통계적으로 유의하였다(Figure 2D). 지각된 장애성의 효과크기를 계산하기 위해 분석에 포함된 사례 수는 총 2건이었으며, 효과크기는 ESr=–.35 (95% CI, –0.59 to –0.05), 지각된 유익성의 분석에 포함된 사례 수는 총 2건, 효과크기는 ESr=.30 (95% CI, 0.13 to 0.46), 표준주의지침 인지도의 사례 수는 총 6건, 효과크기는 ESr=.29 (95% CI, 0.20 to 0.37)로 모두 통계적으로 유의하였다(Figure 2E–G). 표준주의지침 인식의 분석에 포함된 사례 수는 총 5건, 효과크기는 ESr=.27 (95% CI, 0.16 to 0.37), 지각된 심각성의 분석에 포함된 사례 수는 총 2건, 효과크기는 ESr=.24 (95% CI, 0.09 to 0.38)로 모두 통계적으로 유의하였다(Figure 2H, I). 지각된 민감성의 분석에 포함된 사례 수는 총 2건이었으며, 효과크기는 ESr=.21 (95% CI, 0.12 to 0.31), 표준주의지침 태도의 분석에 포함된 사례 수는 총 5건이었으며, 효과크기는 ESr=.16 (95% CI, 0.01 to 0.30)로 모두 통계적으로 유의하였다(Figure 2J, K).
(3) 지식 요인
지식 요인에는 표준주의지침 지식, 혈액매개 감염관리 지식이 포함되었으며 통합 효과크기는 ESr=.17 (95% CI, 0.10 to 0.23)로 통계적으로 유의하였다(Figure 2L). 표준주의지침 지식의 효과크기를 계산하기 위해 분석에 포함된 사례 수는 총 20건이었으며, ESr=.18 (95% CI, 0.10 to 0.25)로 통계적으로 유의하였다(Figure 2M).
(4) 가치관 요인
가치관 요인에는 도덕적 민감성, 정당화가 포함되었으며 통합 효과크기는 ESr=.14 (95% CI, 0.07 to 0.21)로 통계적으로 유의하였다(Figure 2N). 도덕적 민감성의 효과크기를 계산하기 위해 분석에 포함된 사례 수는 총 4건이었으며, 효과크기는 ESr=.13 (95% CI, 0.04 to 0.22)으로 통계적으로 유의하였다(Figure 2O).
(5) 행동동기 요인
행동동기 요인에는 자기효능감, 행동계기, 문화적 관행, 리더십, 상황적 단서가 포함되었으며 통합 효과크기는 ESr=.28 (95% CI, 0.17 to 0.38)로 통계적으로 유의하였다(Figure 2P). 자기효능감의 효과크기를 계산하기 위해 분석에 포함된 사례 수는 총 5건이었으며, 효과크기는 ESr=.41 (95% CI, 0.24 to 0.56)로 moderate 수준의 효과크기에 해당하였으며 통계적으로 유의하였다(Figure 2Q). 지각된 행동계기의 분석에 포함된 사례 수는 총 2건, 효과크기는 ESr=.34 (95% CI, 0.07 to 0.57)로 통계적으로 유의하였다(Figure 2R). 문화적 관행의 분석에 포함된 사례 수는 총 2건이었으며, 효과크기는 ESr=.17 (95% CI, 0.07 to 0.28)로 통계적으로 유의하였다(Figure 2S).
2) 조직적 요인
조직문화 요인에는 감염관리조직문화, 환자안전문화, 안전풍토가 포함되었으며 통합 효과크기는 ESr=.35 (95% CI, 0.28 to 0.41)로 통계적으로 유의하였다(Figure 2T). 감염관리조직문화의 효과크기를 계산하기 위해 분석에 포함된 사례 수는 총 6건이었으며, 효과크기는 ESr=.47 (95% CI, 0.39 to 0.54), 환자안전문화의 분석에 포함된 사례 수는 총 5건, 효과크기는 ESr=.44 (95% CI, 0.35 to 0.53)이며, 안전풍토의 분석에 포함된 사례 수는 총 11건, 효과크기는 ESr=.23 (95% CI, 0.16 to 0.31)으로 통계적으로 유의하였다(Figure 2U–W).
3) 출판편의
Trim and fill은 사례 수(k)가 10건 이상인 요인에 대해서 분석을 시행하였다. 인구사회학적 요인의 trim and fill를 시행한 결과, 추가로 조정된 연구 없이 ESr=.25 (95% CI, 0.13 to 0.36)로 통계적으로 유의하였다. 인지적 요인의 trim and fill 결과, 추가로 조정된 연구 없이 ESr=.19 (95% CI, 0.11 to 0.28)로 통계적으로 유의하였다. 지식 요인의 trim and fill의 그 결과, 비대칭을 전환하기 위해 누락된 것으로 조정된 3편의 연구를 추가하여 교정한 결과, ESr=.19 (95% CI, 0.13 to 0.25)로 통계적으로 유의하였다. 행동동기 요인 trim and fill의 그 결과, 비대칭을 전환하기 위해 누락된 것으로 조정된 5편의 연구를 추가하여 교정한 결과, ESr=.15 (95% CI, 0.02 to 0.28)로 통계적으로 유의하였다. 조직문화 요인 trim and fill의 그 결과, 비대칭을 전환하기 위해 누락된 것으로 조정된 8편의 연구를 추가하여 교정한 결과, ESr=.24 (95% CI, 0.15 to 0.33)로 통계적으로 유의하였다.
4) 민감도 분석
민감도 분석결과 개인적 요인(인구사회학적 요인, 인지적 요인, 지식 요인, 가치관 요인, 행동동기 요인)과 조직적 요인들의 관련 변인들은 개별 효과크기와 이질성에 큰 영향을 미치지 않았다. 다만 개인적 요인 중 일부 관련 변인인 자기효능감, 근무경력, 나이, 상황적 단서는 특정 연구가 효과크기±0.1의 변화 및 높은 이질성이 확인되었다(Supplementary Appendix 3).
5) 조절효과 분석
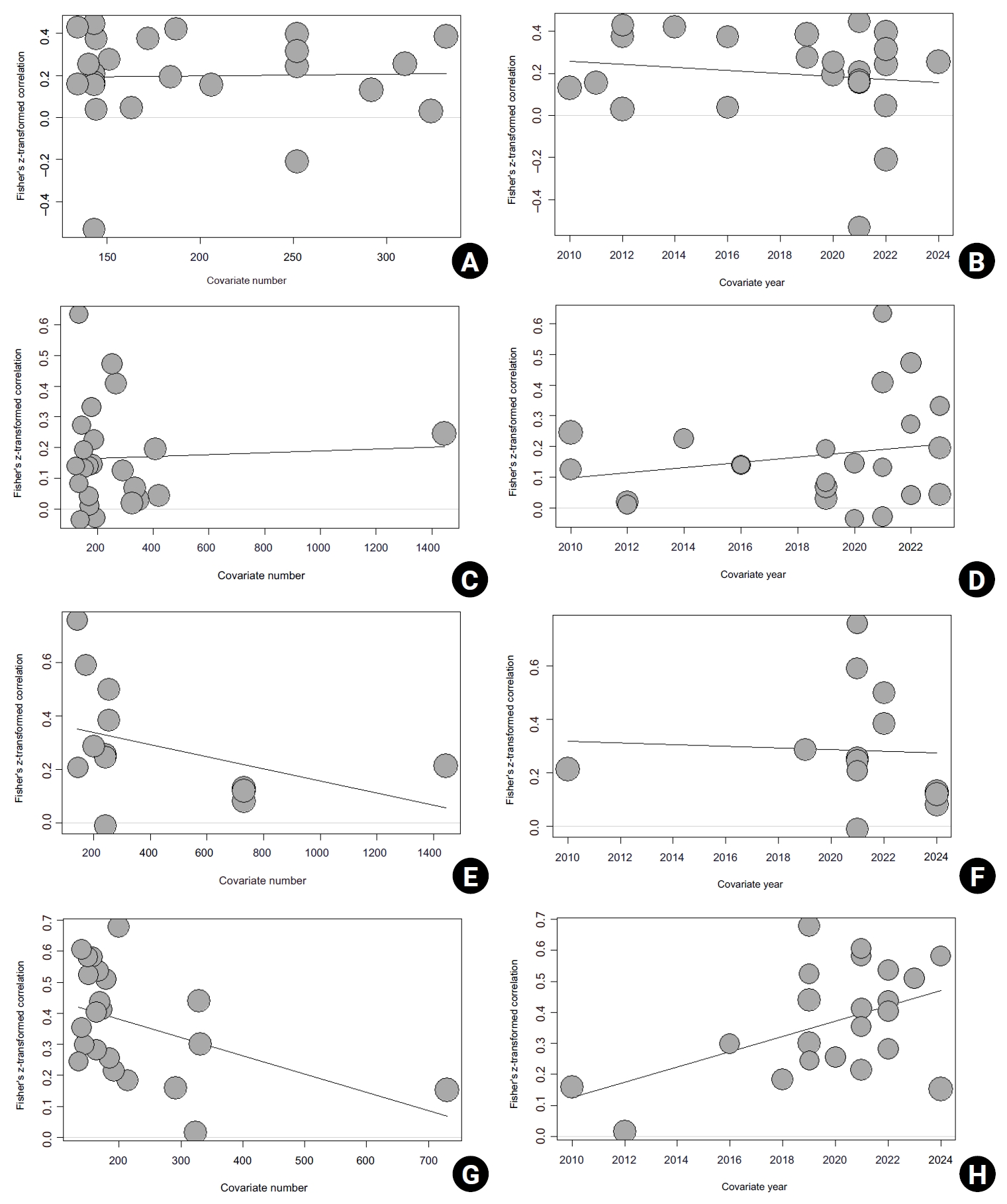
연구의 효과크기에 영향을 미치는 변수를 확인하기 위해, 10편 이상의 연구가 포함된 인지적 요인, 지식 요인, 행동동기 요인, 조직문화 요인을 대상으로 국가별 환경차이, 표본규모에 따른 효과크기 변동성, 시간에 따른 정책 및 인식변화를 반영한 연구 수행 국가, 대상자 수, 발행연도를 조절변수로 Meta-ANOVA와 Meta-regression을 실시하였다. 한편, Meta-ANOVA는 각 그룹별로 3편 이상의 연구가 필요하므로, 해당 기준을 충족한 인지적 요인과 지식 요인에 대해서만 수행하였다. 연구 수행 국가를 조절변수로 한 Meta-ANOVA 결과, 인지적 요인(Q=0.00, degrees of freedom [df]=1, p=.96)과 지식 요인(Q=1.96, df=1, p=.17) 모두 통계적으로 유의하지 않은 것으로 나타났다. Meta-regression 결과 회귀모형의 적합성은 요인별로 다음과 같다. 인지적 요인에서 대상자 수는 Q=0.01 (df=1, p=.91), 발행연도는 Q=0.47 (df=1, p=.49)로 통계적으로 유의하지 않았다(Figure 3A, B). 지식 요인에서 대상자 수는 Q=0.06 (df=1, p=.81), 발행연도는 Q=1.06 (df=1, p=.30)로 통계적으로 유의하지 않았다(Figure 3C, D). 행동동기 요인에서 대상자 수는 Q=2.31 (df=1, p=.13), 발행연도는 Q=0.03 (df=1, p=.86)로 통계적으로 유의하지 않았다(Figure 3E, F). 반면, 조직문화 요인 회귀모형의 적합성은 대상자 수 Q=5.36 (df=1, p=.02), 기울기는 0.00 (Z=–2.31, p=.02)로 통계적으로 유의하였으며, 이 모형에서 연구 간 이질성은 20.75%로 나타났다(R2=20.75%). 발행연도는 Q=6.17 (df=1, p=.01), 기울기는 0.01 (Z=2.48, p=.01)로 통계적으로 유의하였으며, 이 모형에서 연구 간 이질성은 22.27%로 나타났다(R2=22.27%) (Figure 3G, H).
고찰
본 연구에서는 병원 간호사의 표준주의지침 수행에 관한 선행연구 50편을 선정하여, 표준주의지침 수행에 영향을 미치는 관련 변인들을 McLeroy 등[16]이 제시한 생태학적 모델에 따라 범주화하여 분류하고, 각 관련 변인들의 효과크기를 분석하였다. 체계적 문헌고찰을 통해 선정된 50편의 연구들의 발행연도는 2016년 이후 수행된 연구가 다수를 차지하였으며 2020년 이후 연구가 30편(60.0%)으로 가장 많은 것으로 나타났다. 2020년 코로나19 팬데믹은 표준주의 중요성이 부각되며 예측할 수 없는 신종감염성 질환 노출 상황에서 효과적으로 대응할 수 있는 표준주의지침 수행이 필수적임을 인지함에 따라[28] 표준주의지침에 관한 관심이 증가함을 시사한다.
병원 유형별로는 종합병원은 22편(44.0%)으로 가장 많았고, 혼합된 경우는 6편(12.0%), 요양병원 4편(8.0%), 3차병원 4편(8.0%), 대학병원 3편(6.0%)이었다. 대학병원 간호사에 비해 종합병원 간호사의 표준주의지침 이행도가 유의하게 낮게 나타났으며[29], 이는 인력 부족, 제한된 예산, 시간 부족 등 환경적 요인에 기인한다[12]. 이러한 제약은 감염관리 활동에 부정적인 영향을 미칠 수 있음에도 불구하고 종합병원에서 수행된 연구 비중이 높다는 것은 표준주의지침 수행에 대한 높은 관심과 개선 의지를 반영한다고 생각된다. 연구들이 수행된 국가는 한국이 37편(74.0%)으로 가장 많았는데, 국외와 비교할 때는 연구편향이 발생할 가능성도 있기에 해석에 주의가 필요하다. 표준주의지침 수행 측정도구의 종류는 국내에서는 Suh (2009)의 도구가 11편(22.0%), 국외에서는 CSPS (2011)가 7편(14.0%)으로 가장 많이 사용되었으며, 연구자가 개발한 도구도 11편(22.0%)으로 확인되었다. 이는 표준화된 도구의 부족을 보여주며, 신뢰도와 타당도를 비교 검증할 필요가 있음을 시사한다. 국외 도구 중 CSPS (2011)는 내용타당도 및 일관성이 충분하여 좋은 도구로 선정되었으며 여러 언어들로 번역되어 아랍어, 포르투갈어, 브라질어, 이탈리아어 및 터키어를 포함하여 다양한 국가에서 채택되어 사용되고 있다는 점은 눈여겨볼 필요가 있다[30]. 따라서 국내에서는 표준주의지침 수행도구를 영역별로 세분화하고, 각 도구의 신뢰도와 타당도를 비교 검증하는 연구도 진행하여 연구자와 실무자가 보다 객관적이고 정밀한 연구와 평가를 수행할 수 있도록 하는 것도 의의가 있을 것으로 생각된다.
본 연구에서는 총 50편의 문헌에서 71개의 관련 변인이 확인되었으며, 이를 McLeroy 등[16]이 제시한 생태학적 모델에 따라 개인적 요인, 조직적 요인, 정책 요인 총 3가지로 확인되었고 대인관계 요인과 지역사회 요인은 확인되지 않았다. 이는 연구 세팅이 병원으로 되어 있는 점과 병원이 가진 체계적이고 위계적인 특성, 구성원 간의 관계가 조직적 구조에 영향을 받는 환경적 특성이 반영된 것으로 생각되며 추후 연구에서는 다른 이론적 모델을 기반으로 관련 변인들을 분석하는 방안을 고려할 수 있을 것이다.
본 연구에서는 체계적 문헌고찰에 포함된 최종 50편 연구들에 대한 문헌의 질 평가 결과, ‘높음’인 경우 5편(10.0%), ‘중간’인 경우 43편(86.0%), ‘낮음’인 경우 2편(4.0%)으로 나타났다. 이는 본 연구에서 메타분석에 포함된 연구의 질이 중간 수준의 이상이라는 것을 확인할 수 있다. 문헌의 질 평가는 메타분석의 타당성을 확인하는 중요한 근거로 사용됨을 나타낸다. 본 연구에 포함된 연구들은 중간 수준 이상의 질을 보였기 때문에, 메타분석 결과에 대해 중간 정도 이상의 신뢰도를 가질 수 있음을 의미한다. 그러나 추후 연구에서는 높은 수준의 질을 가진 연구를 다수 포함하여 메타분석의 신뢰성과 결과의 정확성을 더욱 향상시키는 것이 필요할 것이다.
본 연구에서 이론적 모형을 사용한 연구는 4편(8.0%)이었다. 표준주의지침 수행에 관련한 내용에는 CDC 지침을 기반으로 하였고, CDC 지침이 실무 중심으로 구성되어 있어 이론적 기틀을 적용하기 어려운 점이 있었기 때문으로 판단된다. 그러나 향후 연구에서는 표준주의지침 수행과 관련된 연구설계의 타당성을 높이기 위해 적합한 이론적 모형을 개발하거나 기존의 이론적 기틀을 적용할 필요가 있다. 이러한 이론적 기반은 연구결과의 신뢰성을 높이고, 실무에서의 적용 가능성을 강화하는 데 기여할 것이며, 표준주의지침 수행을 체계적으로 설명하고 예측할 수 있는 이론적 모형이 개발된다면, 간호사의 행동 변화를 보다 효과적으로 이해하고 중재방안을 구체화할 수 있을 것이다.
본 연구에서는 체계적 문헌고찰 논문 중 사례 수(k)가 2건 이상인 논문을 메타분석으로 선정하였고, 개인적 요인, 조직적 요인 총 2가지 요인으로 분류되었다. 개인적 요인은 동일한 수준의 변인들을 묶어 인구사회학적 요인, 인지적요인, 지식 요인, 가치관 요인, 행동동기 요인으로 하위범주를 정하였다. 개인적 요인 중 첫 번째로 인구사회학적 요인의 통합 효과크기는 ESr=.25로, 이러한 결과는 경력이 쌓이고 나이가 들어감에 따라 간호사들이 표준주의지침 수행의 중요성을 더욱 깊이 인식하고 지침을 보다 철저히 수행하는 행동이 보임을 의미한다.
두 번째로 인지적 요인의 통합 효과크기는 ESr=.25로 나타났다. 건강신념(지각된 민감성, 지각된 심각성, 지각된 유익성, 지각된 장애성)의 세부적 항목 중 지각된 장애성(ESr=–.35), 지각된 유익성(ESr=.30)은 중간 정도의 효과크기를 보였다. 한편, 행동계기(cues to action)는 행동 수행을 직접 유발하는 동기적 요인으로 해석되어, 본 연구에서는 행동동기 요인으로 분류하여 별도로 논의하였다. 건강신념은 개인이 건강과 관련된 상황을 어떻게 인식하느냐에 따라 행동이 결정되며, 이러한 신념은 건강행동을 예측하고 설명하는 데 활용되는 이론이다[31]. 지각된 장애성이 높을수록 표준주의지침 수행률이 낮아지는 경향을 확인하였으며, 이는 간호사들이 어려움이나 장애물을 많이 인식할수록 표준주의지침 수행으로 이어지지 않는다고 하였다[32]. 또한 표준주의지침 인식, 인지도, 태도는 모두 표준주의지침 수행과 유의한 관련성을 보였다. 본 연구에서는 인식(perception), 인지도(awareness), 태도(attitude)를 도구별로 유목화하여 개념을 구분하였다. 본 연구에서 선행연구를 통합하여 분석한 결과, 이러한 표준주의지침 인식, 인지도, 태도가 높을수록 표준주의지침 수행도가 증가함이 확인되었다. 그러나 선행 체계적 문헌고찰에서는 긍정적인 태도에도 불구하고 표준주의지침 수행이 낮은 것으로 확인되었다[14]. 또한 국내 개별 선행연구에서도 응급상황에서 표준주의지침을 준수하기보다는 환자에 대한 응급처치를 우선시하는 태도가 관찰되었으며, 이는 표준주의지침의 중요성을 인정하면서도 실천적으로 우선순위가 낮아지는 이중적 태도를 보였다[33]. 특히 장갑이나 마스크 착용 등 표준주의지침의 실천이 업무 효율성을 저하시킨다는 인식도 함께 확인되었다. 따라서 응급상황에서도 표준주의지침의 준수가 중요하다는 점을 고려하여 현장에서 적용할 수 있는 실질적인 방안을 마련하고, 응급상황에서도 최소한의 표준주의지침을 준수할 수 있도록 구체적인 기준과 지침을 수립하는 것이 필요하다. 이를 통해 표준주의지침의 실천력을 높이고, 응급상황에서도 감염관리와 환자안전을 동시에 보장할 수 있을 것으로 생각된다. 따라서 본 연구를 통해 건강신념을 포함한 여러 인지적 요인들이 표준주의지침 수행에 영향을 미치는 요인으로 확인되었으므로, 이를 고려하여 건강신념 및 인지적 요인을 반영한 구체적인 개입전략으로 간호사들이 표준주의지침을 수행하는 데 필요한 행동 동기 등을 제공할 필요가 있다.
세 번째로 지식 요인의 통합 효과크기는 ESr=.17로 나타났는데, 이는 표준주의지침 지식이 표준주의지침 수행을 높임을 의미한다. 그러나 선행연구[34]에서 의료기관평가와 인증의 영향으로 교육은 많이 이루어져 높은 지식을 가지고 있으나 업무 특성상 시간 부족 및 응급상황 대처로 인해 수행도까지 영향을 미치지 못한다고 하였으며, 체계적 문헌고찰 연구[14]에서도 지식이 충분함에도 표준주의지침 수행이 낮은 것으로 확인된 바 있다. 따라서 정확한 지식이 수행으로 이루어질 수 있는 근무환경을 조성하는 것이 필요할 것으로 생각된다. 네 번째로 가치관 요인의 통합효과크기는 ESr=.14로 나타났으며, 도덕적 민감성은 ESr=.13으로 유의한 결과를 보였다. 이는 도덕적 민감성이 최근 표준주의지침 수행과 관계 있는 중요한 요인으로 확인되고 있으며[35], 도덕적 민감성이 높을수록 표준주의지침 수행이 유의하게 증가한다는 선행연구[36]의 결과와 유사하다. 도덕적 민감성은 표준주의지침 수행에 관계가 있는 주요한 내적 요인으로 확인되고 있으며 윤리적인 의사결정 수행 시 윤리적 지식과 함께 중요한 요인으로 대두되고 있다[37]. 따라서 이러한 결과에 기반하여 교육과정에 윤리적 능력 개발을 교육할 수 있는 사례 기반 학습, 윤리적 토론, 모의 상황 훈련으로 간호사의 도덕적 민감성을 강화하는 효과적인 전략이 필요하겠다. 다섯 번째로 행동동기 요인의 통합효과크기는 ESr=.28로 확인되었으며, 가장 큰 효과를 미치는 요인은 자기효능감(ESr=.41)이었다. 이는 자기효능감이 높을수록 표준주의지침 수행도가 증가함을 의미한다. 자기효능감이란 행동의 변화를 주는 데 직접적인 영향을 미치는 요인이며[38], 국외 선행연구에서도 자기효능감은 자신의 행동을 조절하고 방향을 제시하는 역할을 하며, 일반적 자기효능감이 높은 사람일수록 표준주의지침 수행에 대한 순응도가 높은 것으로 나타났으며, 자기효능감이 높은 의료진이 상황에 따른 표준주의지침을 정확히 이해하고, 적절히 적용하여 실행할 수 있는 능력을 발휘할 수 있음을 알 수 있다[39,40]. 그러나 표준주의지침 수행과 자기효능감 간의 관계를 다룬 연구는 아직 많지 않으며 추가적인 연구가 필요하다. 특히 표준주의지침 수행을 향상시키기 위한 자기효능감을 증진시키는 프로그램을 설계하여 자기효능감의 역할을 보다 명확히 이해하고, 이를 기반으로 표준주의지침 수행을 촉진하는 구체적인 방안을 도출하기 위한 지속적인 연구가 이루어져야 할 필요가 있다. 건강신념의 구성요인 중 하나인 행동계기(cues to action)가 중간 정도의 효과크기 ESr=.34를 보였다. 이론적으로 건강신념의 하위요인에 포함되지만 본 연구에서는 행동 수행을 직접적으로 유발하는 동기적 특성을 고려하여 별도의 행동동기요인으로 분류하였다. 이는 인지적 수준에서 형성된 신념이 실제 수행으로 이어지기 위해서는 구체적인 계기가 필요함을 알 수 있다. 표준주의지침 준수에 영향을 미치는 척도인 FIASPS는 Bouchoucha와 Moore [41]가 간호사의 표준주의지침 수행의 사회인지적 결정요인을 확인하기 위해 개발된 도구로 주도적 행동 성향의 리더십, 표준주의지침 수행을 위한 환경 자극에 대한 상황적 단서, 표준주의지침 수행을 촉진하거나 방해하는 문화적 관행, 전문적인 판단을 내리거나 상황과 환자를 평가하는 것, 간호사가 표준주의지침 수행을 준수하지 않는 것을 합리화하여 제시할 수 있는 정당성을 포함하여 5가지 하위요인으로 구성되었고, ‘문화적 관행’이라는 개념은 감염관리조직문화와 비슷한 내용으로 보이나 각 도구의 목적과 초점이 상이하여 유목화하지 않았다. FIASPS는 국외에서 개발된 도구로 추후 국내 실정에 맞는 도구를 개발하여 적용하여 표준주의지침 수행에 영향을 미치는 주요 요인들을 보다 정확히 측정해 볼 필요가 있다.
조직적 요인에서 분리된 관련 변인들도 조직문화 요인으로 통합하여 효과크기를 산출한 결과, 통합효과크기는 ESr=.35로 나타났다. 각 관련 변인들의 효과크기는 감염관리조직문화, 환자안전문화, 안전풍토 순으로 나타났다. 감염관리조직문화는 ESr=.47로 가장 큰 영향을 미치는 요인으로 나타났으며 메타분석 관련 변인 중 가장 큰 효과크기로 나타났다. 이에 감염관리조직문화는 구성원들이 감염관리 수행에 대해 인지하는 가치와 신념을 의미하며[42], 감염관리에 협조적이고 긍정적인 조직문화는 표준주의지침 수행에 영향을 미칠 수 있다[43]. 감염관리를 효과적으로 수행하기 위해서는 간호사 개인의 노력뿐만 아니라, 감염관리를 필수적인 업무로 인식하고 지침을 실천할 수 있도록 동료 간의 지지와 격려를 조성하는 적극적인 환경이 필요하다[44]. 감염관리조직문화는 개인의 노력보다는 병원 리더와 정책의 방향에 따라 변화하는 경향이 더 크다고 볼 수 있다. Kim과 Song [10]의 연구에 따르면, 개정된 의료법 적용과 의료기관 인증평가제도의 영향으로 인해 병원 리더와 임상 실무자들의 감염관리 노력이 강화되었고, 그 결과 감염관리조직문화 수준이 향상된 것으로 나타났다. 따라서 간호사들의 표준주의지침 수행을 향상시키기 위해 병원 차원의 정책적 지원과 체계적인 프로세스 구축 및 감염관리조직문화를 강화하여 간호사들이 지침을 지속적으로 수행할 수 있는 환경을 조성하는 것이 중요하다. 이를 바탕으로 효과적인 정책과 프로세스를 개발하고 검증하는 데 초점을 맞추는 것에 대한 연구를 수행해야 하겠다. 환자안전문화는 ESr=.44로 중간 정도의 효과크기로 나타났다. 환자안전은 의료서비스 제공과정에서 병원의 모든 구성원이 최우선으로 지켜야 할 원칙이다[45]. 환자안전문화의 기본 중 하나는 감염관리이며 표준주의지침 수행을 기반으로 확립할 필요가 있다. 특히 병원 차원의 조직적 노력과 구성원 간의 협력을 강화하여 환자안전문화를 견고하게 할 필요가 있으며, 이를 위해 병원은 지속적인 교육과 소통을 통해 구성원들의 인식을 높이고, 각 부서 간의 협력 시스템을 구축하여 환자안전문화 정착에 기여해야 한다.
안전풍토도 영향을 미치는 것으로 나타났다. 선행연구에서 동일한 측정도구를 사용했음에도 불구하고, 일부 선행연구에서는 안전풍토(safety climate)와 안전환경(safe environment)의 용어를 혼용하여 사용한 사례를 확인하였다[12,34,46,47]. 그러나 본 연구에서는 원 측정도구의 개발자인 Cho (2007)가 해당 도구를 안전풍토(safety climate)로 명명한 점을 바탕으로 도구의 문항을 분석하였다. 문항을 검토한 결과, 인식, 교육, 조직문화 등 안전풍토와 관련된 포괄적 개념을 다루고 있는 것으로 해석되었다. 일부 문항에서는 물리적 환경 및 자원과 같은 안전 환경(safe environment)과 관련된 내용도 있었으나, 도구의 핵심 요소와 연구의 초점을 종합적으로 고려했을 때, 본 연구에서는 이를 안전풍토(safety climate)의 관점에서 해석하고 관련 변인을 유목화하여 연구를 진행하였다. 본 메타분석을 통해 안전풍토(safety climate)가 표준주의지침 수행에 영향을 미치는 요인임을 확인할 수 있었다.
감염관리조직문화, 환자안전문화 및 안전풍토는 조직 내에서 직원들의 업무수행과 관련된 환경 및 문화를 반영하는 점에서 서로 밀접하게 연결되어 있다. 감염관리조직문화 역시 구성원들이 감염관리 수행에 대해 인지하는 가치와 신념을 의미하며[42], 감염관리에 협조적이고 긍정적인 조직문화는 표준주의지침 수행에 직접적인 영향을 미칠 수 있다[43]. 결국 감염관리조직문화와 환자안전문화 및 안전풍토는 모두 조직 내에서 구성원들의 신념, 가치, 그리고 협력을 기반으로 하여 업무수행에 긍정적인 영향을 미친다고 볼 수 있다. 따라서 이 3가지 요소를 강화하는 병원 차원의 정책과 지원이 표준주의지침수행을 높이는 데 핵심적인 전략이 될 수 있다고 생각된다.
한편, 민감도 분석 중 일부 결과에서는 이질성이 높게 나타났다. 이질성이 높은 경우에는 그 원인을 분석하고 연구결과의 해석에 신중을 기하는 것이 필요한데, 원인 분석 시에는 조절효과 분석을 통해 결과를 보완하는 것이 바람직하다. 다만, 조절효과 분석의 경우 연구의 수가 최소 10개 이상이어야 시행할 수 있으므로, 본 연구에서는 각 관련 변인들을 하위범주로 통합하여 조절효과 분석을 시행하였다.
조절효과 분석 중 Meta-ANOVA는 그룹당 3개 이상으로 전체 10편 이상의 문헌으로 충분한 표본 수를 확보하여 효과크기의 추정이 정확하고 통계적 유의성을 검증할 수 있는데, 본 연구에서는 관련 변인 중 인지적 요인과 지식 요인만 시행하였다. 다수의 문헌이 국내 연구였으나, 대규모 감염병 위기 후 국가별 체계 및 환경차이의 영향을 고려하여 연구 수행국가를 조절변수로 선택하였으나 통계적으로 유의미한 차이는 없었다. Meta-regression을 위해서는 최소 10개의 연구가 필요하기에[23], 인지적 요인, 지식 요인, 행동동기 요인, 조직문화 요인을 대상으로 대상자 수, 발행연도를 조절변수로 시행하였고, 이 중 조직문화 요인이 통계적으로 유의하였다. 대상자 수가 적을수록 조직문화 요인의 영향이 높게 나타났으며, 이는 특정 의료기관이나 조직에 집중되어 조직문화 요인의 영향이 상대적으로 크게 추정되었을 가능성을 시사한다. 따라서 실제 영향력보다는 연구규모 등 연구 맥락에 따라 신중한 해석이 필요하다. 한편, 발행연도를 조절변수를 설정한 이유는 감염관리정책과 의료진의 인식이 특정 시점에서 급격한 변화가 아닌 점진적으로 축적되었을 것으로 판단하였기 때문이다. 이러한 결과는 코로나19 팬데믹 이후 점진적으로 감염관리의 중요성이 크게 부각되어, 의료기관에서 조직문화 요인과 표준주의지침에 대한 관심이 커졌음을 의미한다고 할 수 있다. 이를 통해 표준주의지침이 기본원칙으로 확산되는 계기가 되었다고 볼 수 있다.
본 연구는 체계적 문헌고찰 및 메타분석의 방법론을 사용하여 국내 및 국외 관련 문헌을 통합하여 병원 간호사의 표준주의지침 수행에 영향을 미치는 관련 변인에 미치는 효과크기를 제시한 첫 연구이며 병원 간호사의 표준주의지침 수행을 증가시키기 위한 방향을 명확하게 제시하였다는 점에서 의의가 있다. 본 연구를 통해 확인된 개인적 요인(인구사회학적 요인, 인지적 요인, 지식 요인, 가치관 요인, 행동동기 요인)과 조직적 요인(감염관리조직문화, 환자안전문화, 안전풍토)은 각각 독립적으로 수행에 영향을 미쳤으나, 이러한 요인들은 상호보완적으로 작용하여 병원 간호사의 표준주의지침 수행을 할 수 있도록 형성하는 것으로 해석된다. 즉 병원 간호사의 자기효능감과 건강신념 등 개인 내적 요인은 수행의 내적 동기를 제공하며, 이러한 개인의 동기가 조직 내 긍정적인 감염관리문화와 환자안전문화의 지지를 받을 때 실제로 행동으로 전환하여 실천한다. 따라서 표준주의지침 수행 향상을 위해서는 단일 요인 중심의 접근이 아닌 개인-조직 수준의 통합적 개입전략이 필요함을 시사한다. 연구결과를 바탕으로 표준주의지침 수행 향상을 위해 임상적, 교육적, 연구적, 행정적 측면에서의 다각적인 접근이 필요하다. 생태학적 모델을 활용하여 관련 변인을 범주화하였으나 대인관계, 지역사회, 정책 요인은 제시되지 않았다. 이는 연구 세팅이 병원이라는 특성을 감안하여 표준주의지침 수행에 영향을 미치는 관련 변인을 생태학적 모델 적용 시 충분히 반영하지 못한 한계점일 수 있겠다. 따라서 향후 연구에서는 생태학적 모델의 다른 요인들이 표준주의지침 수행에 미치는 영향을 파악하는 연구들이 이루어질 필요가 있으며 또한 이외에도 다양한 이론적 모델 적용 및 여러 관점을 반영하여 관련 변인을 보다 폭넓게 탐색할 필요가 있다. 또한 본 연구는 연구방법 단계에서 NECA 체계적 문헌고찰 매뉴얼에 따라 기본적인 PICOS 기준을 적용하였으나, 표준주의지침 수행의 영향요인과 같은 노출(exposure) 중심의 연구에는 PECOS 기준이 Morgan 등[48]의 연구를 통해 적합함을 확인할 수 있었다. 따라서 본 연구에서 PECOS 기준을 반영하지 못한 점이 한계가 있으나, 향후 연구에서는 이러한 한계를 보완하여 보다 다각적인 분석이 수행될 필요가 있다.
결론
국내 및 국외 병원 간호사의 표준주의지침 수행에 관한 선행연구들의 체계적 문헌고찰 및 메타분석을 통해, 본 연구에서는 표준주의지침 수행에 영향을 미치는 관련 변인들을 확인하고 그 효과크기를 통합적이고 실증적으로 제시하였다. 병원 간호사의 표준주의지침 수행을 강화하기 위해서는 간호사의 자기효능감을 증진시키고, 조직의 감염관리조직문화를 개선하는 것이 우선적으로 고려되어야 하며, 환자안전문화가 표준주의지침 수행과 유의한 관련성을 보였으며, 조직 내 신뢰와 소통과의 연관 가능성을 시사한다. 이러한 결과로 병원 간호사의 표준주의지침 수행을 위해 개인적 요인과 조직적 요인이 함께 고려되어야 함을 보여주며, 향후 표준주의지침 수행의 향상을 위한 다양한 전략의 근거를 제공한다. 따라서 병원 간호사의 표준주의지침 수행을 강화하기 위해서는 개인적 요인(인구사회학적 요인, 인지적 요인, 지식 요인, 가치관 요인, 행동동기 요인)과 조직문화 요인(감염관리조직문화, 환자안전문화, 안전풍토)을 연계한 포괄적인 접근이 필요하다.
본 연구의 결과를 토대로 다음과 같이 제언하고자 한다. 첫째, 자기효능감과 감염관리조직문화를 강화하기 위해 긍정적 피드백 체계를 구축하고 성과사례를 공유할 것을 제언한다. 둘째, 간호사의 자기효능감, 건강신념을 반영한 간호 시뮬레이션 프로그램을 개발하여 제공할 것을 제언한다. 셋째, 표준주의지침 수행을 정교하게 측정할 수 있는 영역별 도구 개발 및 직접 관찰 연구의 실시 및 생태학적 모델의 다양한 요인들을 포함한 연구의 실시를 제언한다. 넷째, 감염관리조직문화와 환자안전문화가 표준주의지침 수행에 가장 큰 영향을 미치는 요인임이 밝혀졌으므로, 간호사들의 표준주의지침 수행 향상을 위해 병원 내 정책적 지원 및 행정적 노력을 강화할 것을 제언한다.
Article Information
-
Conflicts of Interest
Seok Hee Jeong serves as an Editorial Board member of the Journal of Korean Academy of Nursing but has no role in the decision to publish this article. Except for that, no potential conflict of interest relevant to this article was reported.
-
Acknowledgements
The authors thanks to Yun-Beom Kim, the librarian at Jeonbuk National University, for helping with the literature search.
-
Funding
This research received no external funding.
-
Data Sharing Statement
Please contact the corresponding author for data availability.
-
Supplementary Data
Supplementary data to this article can be found online at https://doi.org/10.4040/jkan.25114.
Supplementary Table 1. General characteristics of studies (N=50)
jkan-25114-Supplementary-Table-1.pdf
Supplementary Table 2. Effect sizes of sub-total categories and individual factors
jkan-25114-Supplementary-Table-2.pdf
Supplementary Appendix 1. PRISMA checklist
jkan-25114-Supplementary-Appendix-1.pdf
Supplementary Appendix 2. MOOSE checklist
jkan-25114-Supplementary-Appendix-2.pdf
Supplementary Appendix 3. Sensitivity analysis results
jkan-25114-Supplementary-Appendix-3.pdf
-
Author Contributions
Conceptualization or/and Methodology: SHP, SHJ, CSL, YMK. Data curation or/and Analysis: SHP, SHJ. Investigation: SHP. Project administration or/and Supervision: SHJ. Validation: SHP, SHJ, CSL, YMK. Visualization: SHP, SHJ, CSL, YMK. Writing: original draft or/and Review & Editing: SHP, SHJ, CSL, YMK. Final approval of the manuscript: all authors.
Fig. 1.Selection process for including studies in the meta-analysis.
Fig. 2.Forest plots of variables associated with compliance with standard precautions. (A) Sociodemographic factors. (B) Clinical experience. (C) Age. (D) Cognitive factors, (E) Perceived barrier. (F) Perceived benefits. (G) Awareness of standard precautions. (H) Perception of standard precautions. (I) Perceived seriousness. (J) Perceived sensitivity. (K) Attitude toward standard precautions. (L) Knowledge factors. (M) Knowledge of standard precautions. (N) Moral–value factors. (O) Moral sensitivity. (P) Behavioral–motivational factors. (Q) Self-efficacy. (R) Cues to action. (S) Culture/practice. (T) Organizational culture–related factors. (U) Organizational culture for infection control. (V) Patient safety culture. (W) Safety climate. COR, correlation coefficient (r); CI, confidence interval.
Fig. 3.Meta-regression results for moderating variables. Cognitive factors: Meta-regression: number of participants (A) and Meta-regression: publication year (B). Knowledge factors: Meta-regression: number of participants (C) and Meta-regression: publication year (D). Behavioral–motivational factors: Meta-regression: number of participants (E) and Meta-regression: publication year (F). Organizational culture–related factors: Meta-regression: number of participants (G) and Meta-regression: publication year (H).
References
- 1. Korean Association for Infection Control Nurses. Infection control in healthcare settings. 5th ed. Hanmi Medical Publishing; 2017.
- 2. Korea Disease Control and Prevention Agency (KDCA). The 3rd National Infectious Disease Prevention and Control Plan (2023-2027) announced [Internet]. KDCA; 2023 [cited 2025 Aug 5]. Available from: https://zrr.kr/MDcAWh
- 3. Korean Association for Infection Control Nurses. Infection control nursing. 2nd ed. Hyunmoonsa; 2012.
- 4. Siegel JD, Rhinehart E, Jackson M, Chiarello L. 2007 Guideline for isolation precautions: preventing transmission of infectious agents in health care settings. Am J Infect Control. 2007;35(10 Suppl 2):S65-S164. https://doi.org/10.1016/j.ajic.2007.10.007ArticlePubMedPMC
- 5. Korea National Statistical Office. Regional healthcare statistics [Internet]. Korea National Statistical Office; 2022 [cited 2025 Aug 5]. Available from: https://zrr.kr/GDhY1n
- 6. Kim J, Park H. The influence of knowledge on standard precautions, nursing professionalism, and organizational culture for infection control on hospital nurses’ performance with guidelines for standard precautions. J Korean Acad Fundam Nurs. 2023;30(2):225-235. http://doi.org/10.7739/jkafn.2022.30.2.225Article
- 7. Al-Faouri I, Okour SH, Alakour NA, Alrabadi N. Knowledge and compliance with standard precautions among registered nurses: a cross-sectional study. Ann Med Surg (Lond). 2021;62:419-424. https://doi.org/10.1016/j.amsu.2021.01.058ArticlePubMedPMC
- 8. Lee JI, Kim JK. Factors affecting nurses’ performance of standard precautions for infection in public medical institutions: focusing on knowledge and safety environment. J Korea Contents Assoc. 2021;21(7):238-247. https://doi.org/10.5392/JKCA.2021.21.07.238Article
- 9. Donati D, Biagioli V, Cianfrocca C, De Marinis MG, Tartaglini D. Compliance with standard precautions among clinical nurses: validity and reliability of the Italian version of the Compliance with Standard Precautions Scale (CSPS-It). Int J Environ Res Public Health. 2019;16(1):121. https://doi.org/10.3390/ijerph16010121ArticlePubMedPMC
- 10. Kim Y, Song Y. Organizational culture for infection control and practice of standard precaution in veterans hospital nurses: the mediating effect of self-efficacy. J Health Info Stat. 2021;46(1):124-130. https://doi.org/10.21032/jhis.2021.46.1.124Article
- 11. Kim JH, Lim KH. Factors influencing performance of infection control in neonatal intensive care units nurses. J Korea Acad Ind Coop Soc. 2023;24(4):477-486. https://doi.org/10.5762/KAIS.2023.24.4.477Article
- 12. Sim MK. Knowledge, awareness, safety-climate and performance of standard precautions for healthcare associated infection control among nurses in small and medium hospitals. J Korea Acad Ind Coop Soc. 2019;20(11):425-435. https://doi.org/10.5762/KAIS.2019.20.11.425Article
- 13. Nasiri A, Balouchi A, Rezaie-Keikhaie K, Bouya S, Sheyback M, Rawajfah OA. Knowledge, attitude, practice, and clinical recommendation toward infection control and prevention standards among nurses: a systematic review. Am J Infect Control. 2019;47(7):827-833. https://doi.org/10.1016/j.ajic.2018.11.022ArticlePubMed
- 14. Dioso RP. Factors affecting doctors’ and nurses’ compliance with standard precautions on all areas of hospital settings worldwide: a meta-analysis. ASM Sci J. 2014;8(2):134-342.
- 15. Sahiledengle B, Tekalegn Y, Woldeyohannes D. The critical role of infection prevention overlooked in Ethiopia, only one-half of health-care workers had safe practice: a systematic review and meta-analysis. PLoS One. 2021;16(1):e0245469. https://doi.org/10.1371/journal.pone.0245469ArticlePubMedPMC
- 16. McLeroy KR, Bibeau D, Steckler A, Glanz K. An ecological perspective on health promotion programs. Health Educ Q. 1988;15(4):351-377. https://doi.org/10.1177/109019818801500401ArticlePubMed
- 17. Kim SY, Park JE, Seo HJ, Seo HS, Son HJ, Shin CM, et al. NECA’s guidance for undertaking systematic reviews and meta-analyses for intervention. National Evidence-based Healthcare Collaborating Agency; 2011. 271 p.
- 18. Page MJ, Moher D, Bossuyt PM, Boutron I, Hoffmann TC, Mulrow CD, et al. PRISMA 2020 explanation and elaboration: updated guidance and exemplars for reporting systematic reviews. BMJ. 2021;372:n160. https://doi.org/10.1136/bmj.n160ArticlePubMedPMC
- 19. Meta-analysis of observational studies in epidemiology: a proposal for reporting. Meta-analysis of Observational Studies in Epidemiology (MOOSE) group. JAMA. 2000;283(15):2008-2012. https://doi.org/10.1001/jama.283.15.2008ArticlePubMed
- 20. Jeong S, Jeong SH. Patient safety management activities of Korean nurses: a meta-analytic path analysis. J Korean Acad Nurs. 2022;52(4):363-377. https://doi.org/10.4040/jkan.22022ArticlePubMed
- 21. Cummings GG, Tate K, Lee S, Wong CA, Paananen T, Micaroni SP, et al. Leadership styles and outcome patterns for the nursing workforce and work environment: a systematic review. Int J Nurs Stud. 2018;85:19-60. https://doi.org/10.1016/j.ijnurstu.2018.04.016ArticlePubMed
- 22. Lee IH. EasyFlow statistics macro: EXCEL macro Ver 1.5 [Internet]. StatEdu; c2020 [cited 2025 Aug 5]. Available from: http://doi.org/10.22934/StatEdu.2020.01
- 23. Cohen J. Statistical power analysis for the behavioral sciences. 2nd ed. Lawrence Erlbaum Associates; 1988. 400 p.
- 24. Hwang SD. Meta-analysis using R. 2nd ed. Hakjisa; 2020. 384 p.
- 25. Kim K, Kim JH, Lim KC, Lee KS, Jeong JS, Choe M, et al. Quality assessment tools and reporting standards in nursing research. J Korean Biol Nurs Sci. 2012;14(3):221-230. https://doi.org/10.7586/jkbns.2012.14.3.221Article
- 26. Lim SM, Shin ES, Lee SH, Seo KH, Jung YM, Jang JE. Tools for assessing quality and risk of bias by levels of evidence. J Korean Med Assoc. 2011;54(4):419-429. https://doi.org/10.5124/jkma.2011.54.4.419Article
- 27. Borenstein M, Hedges LV, Higgins JP, Rothstein HR. Introduction to meta-analysis. John Wiley & Sons; 2009. 421 p.
- 28. Choi KC, Moon JH, Yu TH, Shin YM, Lee SY, Lim HS. Factors influencing nursing students’ performance of standard precautions: focused on awareness of standard precautions, nurses’ attitude toward standard precautions, and safety environment. Nurs Health Issues. 2023;28(2):51-59. https://doi.org/10.33527/nhi2023.28.2.51Article
- 29. Kim IY. A comparative study of nurses' knowledge, safety environment and compliance of standard precaution for infection control between university hospitals and general hospitals [master’s thesis]. Gimhae: Inje University; 2013.
- 30. Lommi M, De Benedictis A, Porcelli B, Raffaele B, Latina R, Montini G, et al. Evaluation of standard precautions compliance instruments: a systematic review using COSMIN methodology. Healthcare (Basel). 2023;11(10):1408. https://doi.org/10.3390/healthcare11101408ArticlePubMedPMC
- 31. Park HJ. Emergency room nurses' knowledge, safety climate, and performance of standard precautions for infection control [master’s thesis]. Daegu: Kyungpook National University; 2016.
- 32. Han D, Seo K, Kim ES, Kim HE. Influences of moral sensitivity and safety environment on compliance with standard precautions among nurses. J Korea Acad Ind Coop Soc. 2018;19(3):364-375. https://doi.org/10.5762/KAIS.2018.19.3.364Article
- 33. Jeong E, Jung MR, Kim YM. Influences of safety attitude for patient, and moral sensitivity in practice of standard precaution in small and medium hospital nurses. J Digit Converg. 2021;19(9):453-461. https://doi.org/10.14400/JDC.2021.19.9.453Article
- 34. Park JY, Woo CH. The relationship among moral sensitivity, self-leadership, fatigue and compliance with standard precautions of intensive care nurses. J Digit Converg. 2020;18(9):229-237. https://doi.org/10.14400/JDC.2020.18.9.229Article
- 35. Bandura A. Self-efficacy: the exercise of control. William-Hazen Freeman and Company; 1997. 604 p.
- 36. Jung SY. How to prevent transmission of infectious agents in healthcare settings. Hanyang Med Rev. 2011;31(3):190-199. https://doi.org/10.7599/hmr.2011.31.3.190Article
- 37. Luo Y, He GP, Zhou JW, Luo Y. Factors impacting compliance with standard precautions in nursing, China. Int J Infect Dis. 2010;14(12):e1106-e1114. https://doi.org/10.1016/j.ijid.2009.03.037ArticlePubMedPMC
- 38. Glanz K, Rimer BK, Lewis FM. Health behavior and health education: theory, research, and practice. 3rd ed. Yoo YT, Yoo HR, translators. Gunja Publishing; 2009. 612 p.
- 39. Powers D, Armellino D, Dolansky M, Fitzpatrick J. Factors influencing nurse compliance with standard precautions. Am J Infect Control. 2016;44(1):4-7. https://doi.org/10.1016/j.ajic.2015.10.001ArticlePubMed
- 40. Park MS. Exposure to blood and body fluids and influencing factors on compliance with standard precautions among nurses in general hospital. J Korea Acad Ind Coop Soc. 2016;17(11):563-572. https://doi.org/10.5762/KAIS.2016.17.11.563Article
- 41. Bouchoucha SL, Moore KA. Factors influencing adherence to standard precautions scale: a psychometric validation. Nurs Health Sci. 2019;21(2):178-185. https://doi.org/10.1111/nhs.12578ArticlePubMedPMC
- 42. Moon JE, Jang KS. The performance of healthcare-associated infection control guideline among hospital nurses: a structural equation model. Iran J Public Health. 2018;47(5):648-657. PubMedPMC
- 43. Wong EL, Ho KF, Dong D, Cheung AW, Yau PS, Chan EY, et al. Compliance with standard precautions and its relationship with views on infection control and prevention policy among healthcare workers during COVID-19 pandemic. Int J Environ Res Public Health. 2021;18(7):3420. https://doi.org/10.3390/ijerph18073420ArticlePubMedPMC
- 44. Lee SJ, Kim MR. Factors influencing self-confidence in performance of infection control for multi-drug resistant organisms among nurses in long-term care hospitals. J Korean Acad Fundam Nurs. 2021;28(2):226-236. https://doi.org/10.7739/jkafn.2021.28.2.226Article
- 45. Jeong J, Seo YJ, Nam EW. Factors affecting patient safety management activities at nursing divisions of two university hospitals. Korea J Hosp Manag. 2006;11(1):91-109.
- 46. Cho GY, Moon HJ. The effect of on the performance of standard precautions for infection prevention in small and medium-sized hospital nurses. J Fish Mar Sci Educ. 2020;32(5):1263-1275. https://doi.org/10.13000/jfmse.2020.10.32.5.1263Article
- 47. Choi JA, Lee HO, No SA, Kim SJ. Influencing factors on the compliance with standard precautions among nursing officers in the Korean military hospitals. Korean J Mil Nurs Res. 2012;30(2):31-43.
- 48. Morgan RL, Whaley P, Thayer KA; Schünemann HJ. Identifying the PECO: a framework for formulating good questions to explore the association of environmental and other exposures with health outcomes. Environ Int. 2018;121(Pt 1):1027-1031. https://doi.org/10.1016/j.envint.2018.07.015ArticlePubMedPMC
Appendix
Citations
Citations to this article as recorded by
