, 최민정
, Min-Jung Choi
가톨릭대학교 간호대학
College of Nursing, The Catholic University of Korea, Seoul, South Korea
© 2026 Korean Society of Nursing Science
This is an Open Access article distributed under the terms of the Creative Commons Attribution NoDerivs License (http://creativecommons.org/licenses/by-nd/4.0) If the original work is properly cited and retained without any modification or reproduction, it can be used and re-distributed in any format and medium.
Conflicts of Interest
No potential conflict of interest relevant to this article was reported.
Acknowledgements
None.
Funding
This research received no external funding.
Data Sharing Statement
Please contact the corresponding author for data availability.
Supplementary Data
Supplementary data to this article can be found online at https://doi.org/10.4040/jkan.25099.
Author Contributions
Conceptualization or/and Methodology: SIY, MJC. Data curation or/and Analysis: SIY, MJC. Funding acquisition: none. Investigation: SIY. Project administration or/and Supervision: MJC. Resources or/and Software: SIY. Validation: SIY, MJC. Visualization: SIY. Writing: original draft or/and Review & Editing: SIY, MJC. Final approval of the manuscript: all authors.
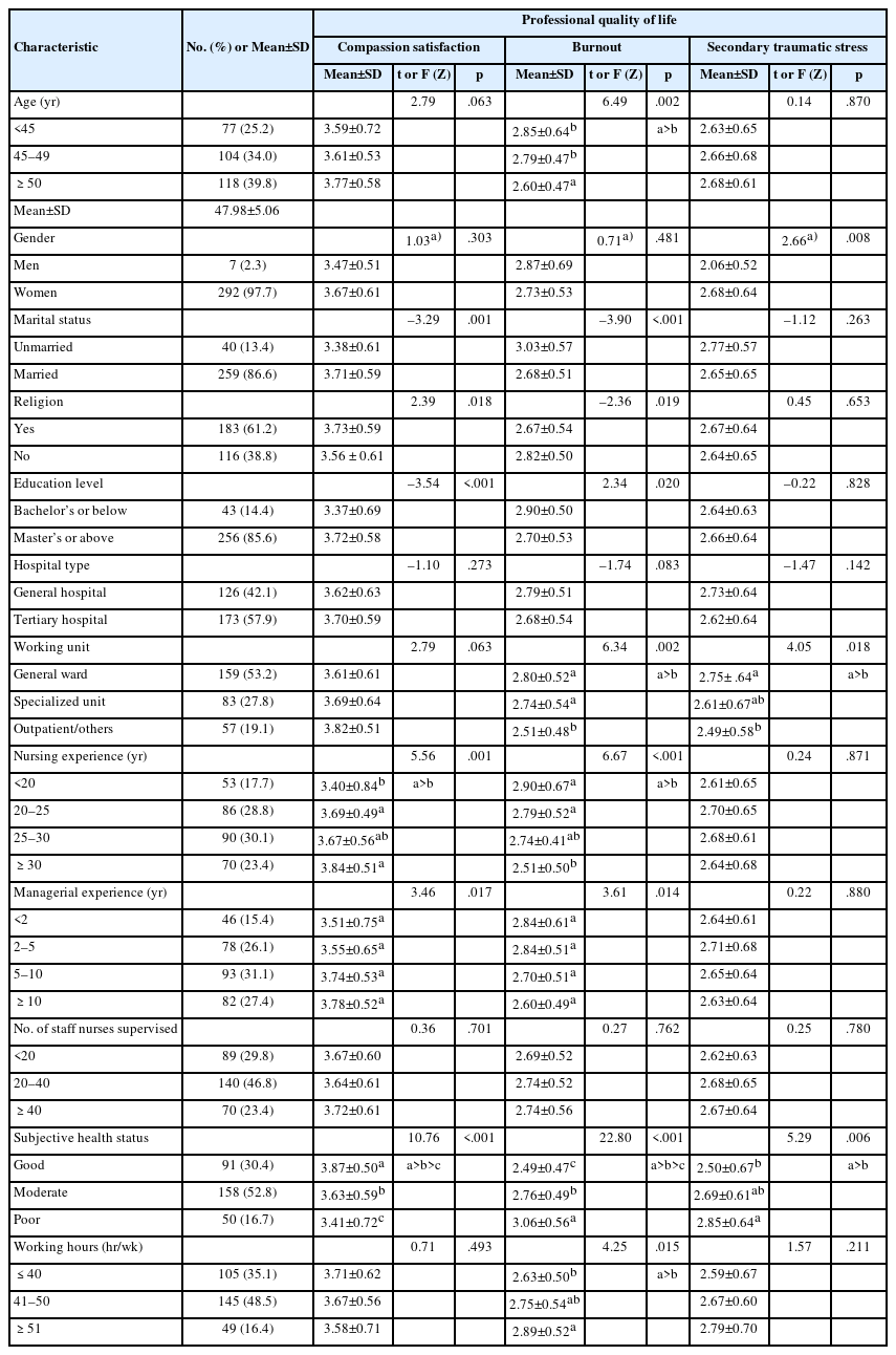
| Characteristic | n (%) or Mean±SD | Professional quality of life | ||||||||
|---|---|---|---|---|---|---|---|---|---|---|
| Compassion satisfaction | Burnout | Secondary traumatic stress | ||||||||
| Mean±SD | t or F (Z) | p | Mean±SD | t or F (Z) | p | Mean±SD | t or F (Z) | p | ||
| Age (yr) | 2.79 | .063 | 6.49 | .002 | 0.14 | .870 | ||||
| <45 | 77 (25.7) | 3.59±0.72 | 2.85±0.64b | a>b | 2.63±0.65 | |||||
| 45–49 | 104 (34.8) | 3.61±0.53 | 2.79±0.47b | 2.66±0.68 | ||||||
| ≥50 | 118 (39.5) | 3.77±0.58 | 2.60±0.47a | 2.68±0.61 | ||||||
| Mean±SD | 47.98±5.06 | |||||||||
| Gender | –1.03a) | .303 | 0.71a) | .481 | –2.66a) | .008 | ||||
| Men | 7 (2.3) | 3.47±0.51 | 2.87±0.69 | 2.06±0.52 | ||||||
| Women | 292 (97.7) | 3.67±0.61 | 2.73±0.53 | 2.68±0.64 | ||||||
| Marital status | –3.29 | .001 | –3.90 | <.001 | 1.12 | .263 | ||||
| Unmarried | 40 (13.4) | 3.38±0.61 | 3.03±0.57 | 2.77±0.57 | ||||||
| Married | 259 (86.6) | 3.71±0.59 | 2.68±0.51 | 2.65±0.65 | ||||||
| Religion | 2.39 | .018 | –2.36 | .019 | 0.45 | .653 | ||||
| Yes | 183 (61.2) | 3.73±0.59 | 2.67±0.54 | 2.67±0.64 | ||||||
| No | 116 (38.8) | 3.56±0.61 | 2.82±0.50 | 2.64±0.65 | ||||||
| Education level | –3.54 | <.001 | 2.34 | .020 | –0.22 | .828 | ||||
| Bachelor’s or below | 43 (14.4) | 3.37±0.69 | 2.90±0.50 | 2.64±0.63 | ||||||
| Master’s or above | 256 (85.6) | 3.72±0.58 | 2.70±0.53 | 2.66±0.64 | ||||||
| Hospital type | –1.10 | .273 | 1.74 | .083 | 1.47 | .142 | ||||
| General hospital | 126 (42.1) | 3.62±0.63 | 2.79±0.51 | 2.73±0.64 | ||||||
| Tertiary hospital | 173 (57.9) | 3.70±0.59 | 2.68±0.54 | 2.62±0.64 | ||||||
| Working unit | 2.79 | .063 | 6.34 | .002 | 4.05 | .018 | ||||
| General ward | 159 (53.2) | 3.61±0.61 | 2.80±0.52a | a>b | 2.75±0.64a | a>b | ||||
| Specialized unit | 83 (27.8) | 3.69±0.64 | 2.74±0.54a | 2.61±0.67ab | ||||||
| Outpatient/others | 57 (19.0) | 3.82±0.51 | 2.51±0.48b | 2.49±0.58b | ||||||
| Nursing experience (yr) | 5.56 | .001 | 6.67 | <.001 | 0.24 | .871 | ||||
| <20 | 53 (17.7) | 3.40±0.84b | a>b | 2.90±0.67a | a>b | 2.61±0.65 | ||||
| 20–25 | 86 (28.8) | 3.69±0.49a | 2.79±0.52a | 2.70±0.65 | ||||||
| 25–30 | 90 (30.1) | 3.67±0.56ab | 2.74±0.41ab | 2.68±0.61 | ||||||
| ≥30 | 70 (23.4) | 3.84±0.51a | 2.51±0.50b | 2.64±0.68 | ||||||
| Managerial experience (yr) | 3.46 | .017 | 3.61 | .014 | 0.22 | .880 | ||||
| <2 | 46 (15.4) | 3.51±0.75a | 2.84±0.61a | 2.64±0.61 | ||||||
| 2–5 | 78 (26.1) | 3.55±0.65a | 2.84±0.51a | 2.71±0.68 | ||||||
| 5–10 | 93 (31.1) | 3.74±0.53a | 2.70±0.51a | 2.65±0.64 | ||||||
| ≥10 | 82 (27.4) | 3.78±0.52a | 2.60±0.49a | 2.63±0.64 | ||||||
| No. of staff nurses supervised | 0.36 | .701 | 0.27 | .762 | 0.25 | .780 | ||||
| <20 | 89 (29.8) | 3.67±0.60 | 2.69±0.52 | 2.62±0.63 | ||||||
| 20–40 | 140 (46.8) | 3.64±0.61 | 2.74±0.52 | 2.68±0.65 | ||||||
| ≥40 | 70 (23.4) | 3.72±0.61 | 2.74±0.56 | 2.67±0.64 | ||||||
| Subjective health status | 10.76 | <.001 | 22.80 | <.001 | 5.29 | .006 | ||||
| Good | 91 (30.4) | 3.87±0.50a | a>b>c | 2.49±0.47c | a>b>c | 2.50±0.67b | a>b | |||
| Moderate | 158 (52.9) | 3.63±0.59b | 2.76±0.49b | 2.69±0.61ab | ||||||
| Poor | 50 (16.7) | 3.41±0.72c | 3.06±0.56a | 2.85±0.64a | ||||||
| Working hours (hr/wk) | 0.71 | .493 | 4.25 | .015 | 1.57 | .211 | ||||
| ≤40 | 105 (35.1) | 3.71±0.62 | 2.63±0.50b | a>b | 2.59±0.67 | |||||
| 41–50 | 145 (48.5) | 3.67±0.56 | 2.75±0.54ab | 2.67±0.60 | ||||||
| ≥51 | 49 (16.4) | 3.58±0.71 | 2.89±0.52a | 2.79±0.70 | ||||||
Control variables: Compassion satisfaction: marital status, religion, education level, nursing experience, managerial experience, subjective health status; Burnout: age, marital status, religion, education level, working unit, nursing experience, managerial experience, subjective health status, working hours; Secondary traumatic stress: working unit, subjective health status.
Boot CI, bootstrapped confidence interval; Boot SE, bootstrapped standard error; CI, confidence interval; M1, perceived organizational support; M2, active coping; M3, passive coping; R2, coefficient of determination; SE, standard error; X, job stress; Y1, compassion satisfaction; Y2, burnout; Y3, secondary traumatic stress.
| Characteristic | n (%) or Mean±SD | Professional quality of life | ||||||||
|---|---|---|---|---|---|---|---|---|---|---|
| Compassion satisfaction | Burnout | Secondary traumatic stress | ||||||||
| Mean±SD | t or F (Z) | p | Mean±SD | t or F (Z) | p | Mean±SD | t or F (Z) | p | ||
| Age (yr) | 2.79 | .063 | 6.49 | .002 | 0.14 | .870 | ||||
| <45 | 77 (25.7) | 3.59±0.72 | 2.85±0.64 |
a>b | 2.63±0.65 | |||||
| 45–49 | 104 (34.8) | 3.61±0.53 | 2.79±0.47 |
2.66±0.68 | ||||||
| ≥50 | 118 (39.5) | 3.77±0.58 | 2.60±0.47 |
2.68±0.61 | ||||||
| Mean±SD | 47.98±5.06 | |||||||||
| Gender | –1.03 |
.303 | 0.71 |
.481 | –2.66 |
.008 | ||||
| Men | 7 (2.3) | 3.47±0.51 | 2.87±0.69 | 2.06±0.52 | ||||||
| Women | 292 (97.7) | 3.67±0.61 | 2.73±0.53 | 2.68±0.64 | ||||||
| Marital status | –3.29 | .001 | –3.90 | <.001 | 1.12 | .263 | ||||
| Unmarried | 40 (13.4) | 3.38±0.61 | 3.03±0.57 | 2.77±0.57 | ||||||
| Married | 259 (86.6) | 3.71±0.59 | 2.68±0.51 | 2.65±0.65 | ||||||
| Religion | 2.39 | .018 | –2.36 | .019 | 0.45 | .653 | ||||
| Yes | 183 (61.2) | 3.73±0.59 | 2.67±0.54 | 2.67±0.64 | ||||||
| No | 116 (38.8) | 3.56±0.61 | 2.82±0.50 | 2.64±0.65 | ||||||
| Education level | –3.54 | <.001 | 2.34 | .020 | –0.22 | .828 | ||||
| Bachelor’s or below | 43 (14.4) | 3.37±0.69 | 2.90±0.50 | 2.64±0.63 | ||||||
| Master’s or above | 256 (85.6) | 3.72±0.58 | 2.70±0.53 | 2.66±0.64 | ||||||
| Hospital type | –1.10 | .273 | 1.74 | .083 | 1.47 | .142 | ||||
| General hospital | 126 (42.1) | 3.62±0.63 | 2.79±0.51 | 2.73±0.64 | ||||||
| Tertiary hospital | 173 (57.9) | 3.70±0.59 | 2.68±0.54 | 2.62±0.64 | ||||||
| Working unit | 2.79 | .063 | 6.34 | .002 | 4.05 | .018 | ||||
| General ward | 159 (53.2) | 3.61±0.61 | 2.80±0.52 |
a>b | 2.75±0.64 |
a>b | ||||
| Specialized unit | 83 (27.8) | 3.69±0.64 | 2.74±0.54 |
2.61±0.67 |
||||||
| Outpatient/others | 57 (19.0) | 3.82±0.51 | 2.51±0.48 |
2.49±0.58 |
||||||
| Nursing experience (yr) | 5.56 | .001 | 6.67 | <.001 | 0.24 | .871 | ||||
| <20 | 53 (17.7) | 3.40±0.84 |
a>b | 2.90±0.67 |
a>b | 2.61±0.65 | ||||
| 20–25 | 86 (28.8) | 3.69±0.49 |
2.79±0.52 |
2.70±0.65 | ||||||
| 25–30 | 90 (30.1) | 3.67±0.56 |
2.74±0.41 |
2.68±0.61 | ||||||
| ≥30 | 70 (23.4) | 3.84±0.51 |
2.51±0.50 |
2.64±0.68 | ||||||
| Managerial experience (yr) | 3.46 | .017 | 3.61 | .014 | 0.22 | .880 | ||||
| <2 | 46 (15.4) | 3.51±0.75 |
2.84±0.61 |
2.64±0.61 | ||||||
| 2–5 | 78 (26.1) | 3.55±0.65 |
2.84±0.51 |
2.71±0.68 | ||||||
| 5–10 | 93 (31.1) | 3.74±0.53 |
2.70±0.51 |
2.65±0.64 | ||||||
| ≥10 | 82 (27.4) | 3.78±0.52 |
2.60±0.49 |
2.63±0.64 | ||||||
| No. of staff nurses supervised | 0.36 | .701 | 0.27 | .762 | 0.25 | .780 | ||||
| <20 | 89 (29.8) | 3.67±0.60 | 2.69±0.52 | 2.62±0.63 | ||||||
| 20–40 | 140 (46.8) | 3.64±0.61 | 2.74±0.52 | 2.68±0.65 | ||||||
| ≥40 | 70 (23.4) | 3.72±0.61 | 2.74±0.56 | 2.67±0.64 | ||||||
| Subjective health status | 10.76 | <.001 | 22.80 | <.001 | 5.29 | .006 | ||||
| Good | 91 (30.4) | 3.87±0.50 |
a>b>c | 2.49±0.47 |
a>b>c | 2.50±0.67 |
a>b | |||
| Moderate | 158 (52.9) | 3.63±0.59 |
2.76±0.49 |
2.69±0.61 |
||||||
| Poor | 50 (16.7) | 3.41±0.72 |
3.06±0.56 |
2.85±0.64 |
||||||
| Working hours (hr/wk) | 0.71 | .493 | 4.25 | .015 | 1.57 | .211 | ||||
| ≤40 | 105 (35.1) | 3.71±0.62 | 2.63±0.50 |
a>b | 2.59±0.67 | |||||
| 41–50 | 145 (48.5) | 3.67±0.56 | 2.75±0.54 |
2.67±0.60 | ||||||
| ≥51 | 49 (16.4) | 3.58±0.71 | 2.89±0.52 |
2.79±0.70 | ||||||
| Variable | Range | Mean±SD | Min–Max | Skewness | Kurtosis | |
|---|---|---|---|---|---|---|
| Job stress | 1–4 | 2.28±0.32 | 1.42–3.25 | 0.28 | 0.31 | |
| Perceived organizational support | 1–5 | 2.88±0.73 | 1.00–4.43 | –0.41 | –0.27 | |
| Active coping | 1–4 | 3.01±0.56 | 1.83–3.92 | –0.14 | 0.27 | |
| Passive coping | 1–4 | 2.52±0.37 | 1.00–3.50 | –0.46 | 1.04 | |
| Compassion satisfaction | 1–5 | 3.68±0.60 | 1.00–4.90 | –0.62 | 1.79 | |
| Burnout | 1–5 | 2.50±0.49 | 1.30–4.20 | 0.12 | –0.26 | |
| Secondary traumatic stress | 1–5 | 2.64±0.63 | 1.00–4.30 | –0.02 | –0.23 |
| Variable | Job stress | Perceived organizational support | Active coping | Passive coping | Compassion satisfaction | Burnout | Secondary traumatic stress |
|---|---|---|---|---|---|---|---|
| r (p) | r (p) | r (p) | r (p) | r (p) | r (p) | r (p) | |
| Job stress | 1 | ||||||
| Perceived organizational support | –.62 (<.001) | 1 | |||||
| Active coping | –.18 (.002) | .13 (.026) | 1 | ||||
| Passive coping | –.03 (.600) | .13 (.031) | .30 (<.001) | 1 | |||
| Compassion satisfaction | –.48 (<.001) | .48 (<.001) | .40 (<.001) | .13 (.021) | 1 | ||
| Burnout | .51 (<.001) | –.33 (<.001) | –.23 (<.001) | .07 (.232) | –.55 (<.001) | 1 | |
| Secondary traumatic stress | .17 (.003) | .07 (.232) | .03 (.569) | .28 (<.001) | –.04 (.445) | .56 (<.001) | 1 |
| Variable | Pathways | B | SE | Boot SE | β | t | p | 95% CI | Boot CI | F(p) | R2 |
|---|---|---|---|---|---|---|---|---|---|---|---|
| Compassion satisfaction | |||||||||||
| Total effect | X→ Y1 | –0.91 | 0.10 | –.48 | –9.51 | <.001 | –1.10 to –0.72 | ||||
| X→M1 | –1.44 | 0.11 | –.62 | –13.50 | <.001 | –1.65 to –1.23 | 182.14 (<.001) | .38 | |||
| X→M2 | –0.20 | 0.06 | –.18 | –3.11 | .010 | –0.33 to –0.07 | 9.67 (.010) | .03 | |||
| X→M3 | –0.04 | 0.07 | –.03 | –0.53 | .596 | –0.17 to 0.10 | 0.28 (.596) | ||||
| M1→ Y1 | 0.23 | 0.05 | .29 | 4.87 | <.001 | 0.14 to 0.33 | 45.59 (<.001) | .38 | |||
| M2→ Y1 | 0.53 | 0.08 | .32 | 6.46 | <.001 | 0.37 to 0.69 | |||||
| M3→ Y1 | 0.01 | 0.08 | <.01 | 0.12 | .904 | –0.16 to 0.14 | |||||
| Direct effect | X→Y1 | –0.47 | 0.11 | –.25 | –4.26 | <.001 | –0.69 to –0.26 | ||||
| Total indirect effect | –0.44 | 0.09 | –0.61 to –0.27 | ||||||||
| Indirect 1 | X→M1→ Y1 | –0.33 | 0.08 | –0.49 to –0.19 | |||||||
| Indirect 2 | X→M2→ Y1 | –0.11 | 0.04 | –0.20 to –0.03 | |||||||
| Indirect 3 | X→M3→ Y1 | <0.01 | 0.01 | –0.01 to 0.02 | |||||||
| Burnout | |||||||||||
| Total effect | X→ Y2 | 0.79 | 0.08 | .51 | 10.11 | <.001 | 0.63 to 0.94 | ||||
| X→M1 | –1.44 | 0.11 | –.62 | –13.50 | <.001 | –1.65 to –1.23 | 182.14 (<.001) | .38 | |||
| X→M2 | –0.20 | 0.06 | –.18 | –3.11 | .010 | –0.33 to –0.07 | 9.67 (.010) | .03 | |||
| X→M3 | –0.04 | 0.07 | –.03 | –0.53 | .596 | –0.17 to 0.10 | 0.28 (.596) | ||||
| M1→ Y2 | –0.03 | 0.04 | –.05 | –0.73 | .466 | –0.11 to 0.05 | 30.84 (<.001) | .30 | |||
| M2→ Y2 | –0.26 | 0.07 | –.19 | –3.62 | <.001 | –0.40 to –0.12 | |||||
| M3→ Y2 | 0.19 | 0.07 | .15 | 2.81 | .010 | 0.06 to 0.33 | |||||
| Direct effect | X→Y2 | 0.70 | 0.10 | .45 | 7.12 | <.001 | 0.51 to 0.89 | ||||
| Total indirect effect | 0.09 | 0.07 | –0.03 to 0.22 | ||||||||
| Indirect 1 | X→M1→ Y2 | 0.04 | 0.06 | –0.07 to 0.16 | |||||||
| Indirect 2 | X→M2→ Y2 | 0.05 | 0.03 | 0.01 to 0.11 | |||||||
| Indirect 3 | X→M3→ Y2 | –0.01 | 0.02 | –0.03 to 0.02 | |||||||
| Secondary traumatic stress | |||||||||||
| Total effect | X→ Y3 | 0.34 | 0.11 | .17 | 3.01 | .010 | 0.12 to 0.57 | ||||
| X→M1 | –1.44 | 0.11 | –.62 | –13.50 | <.001 | –1.65 to –1.23 | 182.14 (<.001) | .38 | |||
| X→M2 | –0.20 | 0.06 | –.18 | –3.11 | .010 | –0.33 to –0.07 | 9.67 (.010) | .03 | |||
| X→M3 | –0.04 | 0.07 | –.03 | –0.53 | .596 | –0.17 to 0.10 | 0.28 (.596) | ||||
| M1→ Y3 | –0.20 | 0.06 | –.24 | –3.44 | <.001 | –0.32 to –0.09 | 12.75 (<.001) | .15 | |||
| M2→ Y3 | –0.04 | 0.10 | –.02 | –0.37 | .711 | –0.24 to 0.16 | |||||
| M3→ Y3 | –0.46 | 0.10 | –.27 | –4.74 | <.001 | –0.64 to –0.27 | |||||
| Direct effect | X→Y3 | 0.64 | 0.14 | .32 | 4.66 | <.001 | 0.37 to 0.92 | ||||
| Total indirect effect | –0.30 | 0.10 | –0.51 to –0.11 | ||||||||
| Indirect 1 | X→M1→ Y3 | –0.29 | 0.10 | –0.49 to –0.11 | |||||||
| Indirect 2 | X→M2→ Y3 | 0.01 | 0.02 | –0.04 to 0.06 | |||||||
| Indirect 3 | X→M3→ Y3 | –0.02 | 0.04 | –0.09 to 0.06 |
Specialized units included intensive care units, operating rooms, emergency departments, central supply rooms, post-anesthesia care units, delivery rooms, and neonatal units. SD, standard deviation. By Scheffé test. a)By Mann-Whitney U test.
SD, standard deviation.
Control variables: Compassion satisfaction: marital status, religion, education level, nursing experience, managerial experience, subjective health status; Burnout: age, marital status, religion, education level, working unit, nursing experience, managerial experience, subjective health status, working hours; Secondary traumatic stress: working unit, subjective health status. Boot CI, bootstrapped confidence interval; Boot SE, bootstrapped standard error; CI, confidence interval; M1, perceived organizational support; M2, active coping; M3, passive coping; R2, coefficient of determination; SE, standard error; X, job stress; Y1, compassion satisfaction; Y2, burnout; Y3, secondary traumatic stress.
